G2C::Genetics
GKAP knock-out mouse
S.G.N. Grant and the G2C Consortium
Corresponding email: Seth.Grant@ed.ac.uk
G2CMine Data Warehouse
| Dlgap1 @ G2CMine |
Genetic and Genomic Information
| Gene symbol | Dlgap1 |
| MGI ID | MGI:1346065 |
| G2Cdb mouse | G00000869 |
| Ensembl mouse | ENSMUSG00000003279 |
| G2Cdb human | G00002118 |
| Ensembl human | ENSG00000170579 |
G2CMine Data Warehouse
G2CMine integrates the scientific findings of the Genes to Cognition Programme that utilised neuroproteomics, psychiatric genetics, high-throughput mouse gene targeting combined with behavioural and electrophysiological phenotyping and informatics in order to develop a general strategy for understanding cognition at the molecular, cellular and systems neuroscience levels.
G2CMine provides comprehensive Gene Ontology, Mammalian Phenotype Ontology, Human Phenotype Ontology, UniProt, genetic and protein interactions, and regional mouse brain expression results, together with the phenotyping results of the G2C Programme.
Mutation
E14TG2a mouse embryonic stem (ES) cells were targeted with a vector containing 5.3kb and 2.6kb of flanking genomic DNA. This replaced 795bp of Dlgap1 genomic DNA (X70662625 to X70663420; Ensemble Build 68) with IRES-lacZ-neo cassette. Correctly targeted ES cells were identified by long range PCR using Expand Long Template PCR system (Roche Cat 11681842001). The PCR contained primer X (5'-GAGCTATTCCAGAAGTAGTGAG-3') and primer W (5'-GTTGTTGATTGAGAGTGAAGC-3') that correspond to sequence in the IRES-lacZ-neo cassette and sequence outside the 2.6kb flanking region respectively.
The correctly targeted ES cells were injected into C57BL/6 blastocysts to create chimeric mice, which were bred with 129S5 mice to generate heterozygous (+/-) Dlgap1 mutant mice. Those F1 heterozygous mice had been backcrossed with 129S5 mice for 1-2 times before being used for intercrossing.
Location of Dlgap1 gene trap. Dlgap1 is a 11 exon gene encoding the GKAP protein which contains a GKAP domain (top). We replaced Dlgap1 exon 4 with a selection cassette in targeted mice and created a frameshift between exons 4 and 5.
Genotyping
Genomic DNA was isolated from ES cells by Wizard SV 96 Genomic DNA purification system (Promega Cat A2371). Genotyping PCR consisted of a 692bp product amplified from the wild-type (wt) allele using a forward primer A (GTGGTCATGGTATGACTCTC) in the wt sequence deleted by targeted mutation and a reverse primer B (GGATATTGTCTGACACTGCTC) downstream of the cassette. A 672bp product was amplified from the targeted allele using primer B with forward primer X, within the selection cassette. After enzymatic amplification for 35 cycles (45 seconds at 94 °C, 45 seconds at 55 °C, and 1 minute at 72 °C), the PCR products were size-fractionated on a 2% agarose gel in 1x Tris borate-EDTA buffer.
Primers used for genotyping(a,b & x) PCR genotyping of targeted Dlgap1 mice using a common reverse primer (b) and reverse primers a and x to amplify the wt and mutant alleles respectively.
Expression
Total RNA was extracted from whole mouse brain using RNeasy Midi kit (Qiagen, Cat 75144). RT-PCR was performed by generating first strand cDNA and using a forward primer, Y (GAAGTCTCCATCAACAGAAG), which anneals to exon 7 and a reverse primer, Z (CATTCGTCGTCCTGGGAGCAG), which anneals to exon 8. A product of 287bp was generated from WT cDNA and no product detected from homozygote cDNA where the exons have been replaced by the cassette.
Primers used for RT-PCR (Y&Z) RT-PCR genotyping - forward primer in exon 7 and reverse primer in exon 8, a band is produced in wt mice and no band in targeted mice where exon 4 has been replaced by the selection cassette.
Breeding
Birth of GKAP-/- mice followed Mendelian ratios with 28% of offspring being homozygous knockouts. Genotypes of 3-week-old pups from GKAP+/- intercrosses identified 43 wt, 81 GKAP+/- and 48 GKAP-/- progeny (Χ2 p= 0.647). Male and female GKAP-/- mice showed no gross abnormalities. GKAP mice were maintained by backcrossing onto the 129S5/SvEvBrd background; heterozygous males and females were fertile and used to set up intercrosses to generate homozygous and wildtype mice to study.
Overview
Mutant mice showed little overall behavioural difference from wildtypes, with three of 16 behaviour variables significantly impacted by this mutation. In the rotarod task, one behavioural variable, RR learning, was significantly decreased in mutants. In the contextual memory task, two behavioural variables of two were significantly impacted in mutants. Elevated plus maze, open field/novel object exploration, fear learning and cued memory tasks were unaffected. Definitions of variables may be found below.
The G2CMine data warehouse provides cohort summaries and individual mouse observations from the GKAP knock-out line phenotyping. 
Variables shown are: EPM total distance, Total distance (cm) travelled in any arm or central zone of the EPM. EPM max speed, Maximum speed (cm/s) travelled in any arm or central zone of the EPM. EPM % time in open, Percentage of time in the open or closed arms of the EPM spent in open arms. EPM time in centre, Total time (s) spent in the central zone of the EPM. EPM max speed, open vs closed, Difference between the maximum speed (cm/s) observed in the open arms and the closed arms of the EPM. OF, NOE total distance, Total distance travelled (log₁₀ cm) during initial exposure to the open field and in presence of the novel object. NOE vs OF distance travelled, Difference in distance travelled (cm) in presence of the novel object and during initial exposure to open field. RR naive fall time, Fall time on accelerating rotarod (log₁₀ s), naive performance in session 1. RR learning, Learning on rotarod, measured as increase in fall time per trial (s/trial) in session 1. RR memory, Memory on rotarod, measured as excess fall time at middle of session 2 relative to middle of session 1. Fear learning, trial effect, Fear learning, measured as extra % time freezing before third trial compared to % time freezing before first trial. Fear learning, tone effect, Fear learning, measured as increase in % time freezing due to third tone compared to increase in % time freezing due to first tone. Contextual memory, mean, Contextual memory, measured as difference in % time freezing during first 120 s re-exposure to the box compared to first 120 s in the box on previous day. Contextual memory, change, Contextual memory, measured as increase in % time spent freezing from first time bin of 30 s to fourth bin of 30 s during 120 s re-exposure to the box. Cued memory, mean, Cued memory, measured as increase in % time spent freezing during 120 s of tone re-exposure compared to increase in % time spent freezing during initial tone on previous day. Cued memory, change, Cued memory, measured as increase in % time spent freezing from first time bin of 30 s to fourth bin of 30 s during 120 s re-exposure to the tone. 
| Variable | Units | Wildtype M (n=7) | Wildtype F (n=10) | Mutant M (n=13) | Mutant F (n=9) | P(sex×mutation) | P(mutation) |
|---|---|---|---|---|---|---|---|
| EPM total distance | cm | 811 (112) | 682 (89) | 780 (65) | 793 (104) | 0.44 | 0.65 |
| EPM max speed | cm/s | 20.2 (4) | 15.5 (1.2) | 14.9 (0.9) | 16.3 (1.4) | 0.099 | 0.25 |
| EPM % time in open | % | 45.1 (14.7) | 50.1 (9.1) | 46.2 (9.2) | 31.8 (9.4) | 0.36 | 0.41 |
| EPM time in centre | s | 141 (24) | 168 (21) | 157 (13) | 159 (19) | 0.5 | 0.86 |
| EPM max speed, open vs closed | cm/s | 3.2 (6.5) | -2.1 (1.8) | -0.9 (1.3) | -3.2 (1.4) | 0.58 | 0.36 |
| OF, NOE total distance | log10 cm | 3.27 (0.12) | 3.11 (0.11) | 3.03 (0.08) | 3.04 (0.09) | 0.41 | 0.14 |
| NOE vs OF distance travelled | cm | -220 (250) | -40 (190) | -200 (130) | 90 (110) | 0.75 | 0.65 |
| RR naive fall time | log10 s | 0.93 (0.12) | 1.13 (0.12) | 0.83 (0.05) | 0.98 (0.08) | 0.82 | 0.19 |
| RR learning | s/trial | 3 (0.7) | 1 (0.7) | 0.9 (0.4) | 0.3 (0.3) | 0.22 | 0.018 * |
| RR memory | s | 8.3 (4) | 5.6 (3.6) | 6 (2.4) | 4.1 (1.4) | 0.89 | 0.53 |
| Fear learning, trial effect | % freezing | 45.8 (5.4) | 39.3 (8.9) | 29.1 (3.5) | 32.2 (6.1) | 0.45 | 0.07 |
| Fear learning, tone effect | % freezing | -4.7 (10.4) | -1.5 (6.6) | -4.3 (9.1) | -21.1 (6.7) | 0.26 | 0.27 |
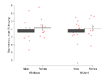
| Contextual memory, mean | % freezing | 32.6 (5.9) | 25.7 (5.5) | 17.1 (4.5) | 16.4 (7) | 0.59 | 0.04 * |
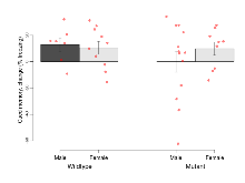
| Contextual memory, change | % freezing | 48 (7.3) | 32.3 (8.9) | 19.2 (6.4) | 15.5 (9.5) | 0.48 | 0.0096 ** |
| Cued memory, mean | % freezing | -8.4 (12.4) | 4 (7.2) | -8.1 (8.1) | 2.3 (8.5) | 0.91 | 0.94 |
| Cued memory, change | % freezing | 12.8 (5) | 10.4 (4.9) | -0.1 (7.9) | 9.8 (5) | 0.37 | 0.33 |
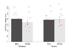
Elevated Plus Maze
 
Variables shown are: EPM total distance, Total distance (cm) travelled in any arm or central zone of the EPM. EPM max speed, Maximum speed (cm/s) travelled in any arm or central zone of the EPM. EPM % time in open, Percentage of time in the open or closed arms of the EPM spent in open arms. EPM time in centre, Total time (s) spent in the central zone of the EPM. EPM max speed, open vs closed, Difference between the maximum speed (cm/s) observed in the open arms and the closed arms of the EPM. 
| Variable | Units | Wildtype M (n=7) | Wildtype F (n=10) | Mutant M (n=13) | Mutant F (n=9) | P(sex×mutation) | P(mutation) |
|---|---|---|---|---|---|---|---|
| EPM total distance | cm | 811 (112) | 682 (89) | 780 (65) | 793 (104) | 0.44 | 0.65 |
| EPM max speed | cm/s | 20.2 (4) | 15.5 (1.2) | 14.9 (0.9) | 16.3 (1.4) | 0.099 | 0.25 |
| EPM % time in open | % | 45.1 (14.7) | 50.1 (9.1) | 46.2 (9.2) | 31.8 (9.4) | 0.36 | 0.41 |
| EPM time in centre | s | 141 (24) | 168 (21) | 157 (13) | 159 (19) | 0.5 | 0.86 |
| EPM max speed, open vs closed | cm/s | 3.2 (6.5) | -2.1 (1.8) | -0.9 (1.3) | -3.2 (1.4) | 0.58 | 0.36 |
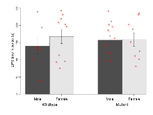
Open Field/Novel Object
 
Variables shown are: OF, NOE total distance, Total distance travelled (log₁₀ cm) during initial exposure to the open field and in presence of the novel object. NOE vs OF distance travelled, Difference in distance travelled (cm) in presence of the novel object and during initial exposure to open field. 
| Variable | Units | Wildtype M (n=7) | Wildtype F (n=10) | Mutant M (n=13) | Mutant F (n=9) | P(sex×mutation) | P(mutation) |
|---|---|---|---|---|---|---|---|
| OF, NOE total distance | log10 cm | 3.27 (0.12) | 3.11 (0.11) | 3.03 (0.08) | 3.04 (0.09) | 0.41 | 0.14 |
| NOE vs OF distance travelled | cm | -220 (250) | -40 (190) | -200 (130) | 90 (110) | 0.75 | 0.65 |
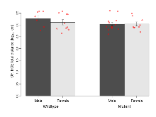
Rotarod
 
Variables shown are: RR naive fall time, Fall time on accelerating rotarod (log₁₀ s), naive performance in session 1. RR learning, Learning on rotarod, measured as increase in fall time per trial (s/trial) in session 1. RR memory, Memory on rotarod, measured as excess fall time at middle of session 2 relative to middle of session 1. 
| Variable | Units | Wildtype M (n=7) | Wildtype F (n=10) | Mutant M (n=13) | Mutant F (n=9) | P(sex×mutation) | P(mutation) |
|---|---|---|---|---|---|---|---|
| RR naive fall time | log10 s | 0.93 (0.12) | 1.13 (0.12) | 0.83 (0.05) | 0.98 (0.08) | 0.82 | 0.19 |
| RR learning | s/trial | 3 (0.7) | 1 (0.7) | 0.9 (0.4) | 0.3 (0.3) | 0.22 | 0.018 * |
| RR memory | s | 8.3 (4) | 5.6 (3.6) | 6 (2.4) | 4.1 (1.4) | 0.89 | 0.53 |
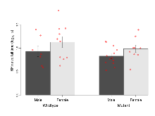
Fear Conditioning
 
Variables shown are: Fear learning, trial effect, Fear learning, measured as extra % time freezing before third trial compared to % time freezing before first trial. Fear learning, tone effect, Fear learning, measured as increase in % time freezing due to third tone compared to increase in % time freezing due to first tone. Contextual memory, mean, Contextual memory, measured as difference in % time freezing during first 120 s re-exposure to the box compared to first 120 s in the box on previous day. Contextual memory, change, Contextual memory, measured as increase in % time spent freezing from first time bin of 30 s to fourth bin of 30 s during 120 s re-exposure to the box. Cued memory, mean, Cued memory, measured as increase in % time spent freezing during 120 s of tone re-exposure compared to increase in % time spent freezing during initial tone on previous day. Cued memory, change, Cued memory, measured as increase in % time spent freezing from first time bin of 30 s to fourth bin of 30 s during 120 s re-exposure to the tone. 
| Variable | Units | Wildtype M (n=7) | Wildtype F (n=10) | Mutant M (n=13) | Mutant F (n=9) | P(sex×mutation) | P(mutation) |
|---|---|---|---|---|---|---|---|
| Fear learning, trial effect | % freezing | 45.8 (5.4) | 39.3 (8.9) | 29.1 (3.5) | 32.2 (6.1) | 0.45 | 0.07 |
| Fear learning, tone effect | % freezing | -4.7 (10.4) | -1.5 (6.6) | -4.3 (9.1) | -21.1 (6.7) | 0.26 | 0.27 |
| Contextual memory, mean | % freezing | 32.6 (5.9) | 25.7 (5.5) | 17.1 (4.5) | 16.4 (7) | 0.59 | 0.04 * |
| Contextual memory, change | % freezing | 48 (7.3) | 32.3 (8.9) | 19.2 (6.4) | 15.5 (9.5) | 0.48 | 0.0096 ** |
| Cued memory, mean | % freezing | -8.4 (12.4) | 4 (7.2) | -8.1 (8.1) | 2.3 (8.5) | 0.91 | 0.94 |
| Cued memory, change | % freezing | 12.8 (5) | 10.4 (4.9) | -0.1 (7.9) | 9.8 (5) | 0.37 | 0.33 |
- Overview
- Basal Synaptic Transmission
- Paired Pulse Facilitation
- Theta Burst Stimulation
- Long Term Potentiation
Overview
Mutant slices showed very large overall electrophysiological difference from wildtype slices, with four of nine variables significantly impacted in these mutant slices. In the basal synaptic transmission experiment, max fEPSP amplitude was significantly decreased in mutants. In the theta burst stimulation experiment, three electrophysiological variables of five were significantly impacted in mutants. Paired pulse facilitation and long term potentiation experiments were unaffected. Note that in the theta burst analysis, the tenth burst is analysed as representative of individual burst amplitude. Definitions of variables may be found below.
The G2CMine data warehouse provides slice group summaries and individual mouse observations from the GKAP knock-out line phenotyping. 
Variables shown are: Max fEPSP amplitude, Maximum field excitatory postsynaptic potential (fEPSP) amplitude. PPF at 50ms, ampl ratio, Paired pulse facilitation (PPF), pulses separated by 50ms, amplitude ratio. Burst 1, PPF at 10ms, ampl ratio, Paired pulse facilitation (PPF), pulses separated by 10ms, amplitude ratio, observed during first two pulses of the first 100Hz burst during theta-burst stimulation. Burst 1, EPSP3 depr, ampl ratio, Depression observed in third fEPSP relative to the second fEPSP of the first 100Hz burst, amplitude ratio. Burst 1, ave amplitude, Average amplitude of four fEPSPs in first burst. Burst 2, ave amplitude, Average amplitude of four fEPSPs in second burst. Burst 3, ave amplitude, Average amplitude of four fEPSPs in third burst. Burst 4, ave amplitude, Average amplitude of four fEPSPs in fourth burst. Burst 5, ave amplitude, Average amplitude of four fEPSPs in fifth burst. Burst 6, ave amplitude, Average amplitude of four fEPSPs in sixth burst. Burst 7, ave amplitude, Average amplitude of four fEPSPs in seventh burst. Burst 8, ave amplitude, Average amplitude of four fEPSPs in eighth burst. Burst 9, ave amplitude, Average amplitude of four fEPSPs in ninth burst. Burst 10, ave amplitude, Average amplitude of four fEPSPs in tenth burst. Burst 2-4 ave amplitude vs Burst 1, Facilitation observed in average amplitude of bursts 2-4, relative to average amplitude of burst 1. Burst 8-10 ave amplitude vs Burst 2-4, Depression observed in average amplitude of bursts 8-10, relative to average amplitude of bursts 2-4. LTP vs PTP, amplitude ratio, Reduction in potentiation from immediately after theta-burst stimulation to one hour later, fEPSP amplitude ratio. LTP based on amplitude, Long term potentiation, ratio of amplitudes of fEPSPs in test pathway and control pathway. 
| Variable | Units | Wildtype slices (animals) | Wildtype mean (SEM) | Mutant slices (animals) | Mutant mean (SEM) | P(animals) | P(mutation) |
|---|---|---|---|---|---|---|---|
| Max fEPSP amplitude | µV | 16 (5) | 3000 (160) | 16 (5) | 1680 (110) | 0.5 | 0.00025 *** |
| PPF at 50ms, ampl ratio | % | 16 (5) | 175.4 (5.4) | 16 (5) | 190.2 (4.2) | 0.082 | 0.14 |
| Burst 1, PPF at 10ms, ampl ratio | % | 16 (5) | 184.2 (9.3) | 16 (5) | 205.6 (6.7) | 0.042 * | 0.21 |
| Burst 1, EPSP3 depr, ampl ratio | % | 16 (5) | 64.2 (3.2) | 16 (5) | 83.3 (1.7) | 0.074 | 0.0045 ** |
| Burst 1, ave amplitude | µV | 16 (5) | 1323 (57) | 16 (5) | 863 (52) | 0.11 | 0.0018 ** |
| Burst 2, ave amplitude | µV | 16 (5) | 2123 (75) | 16 (5) | 1501 (83) | 0.32 | 0.0013 ** |
| Burst 3, ave amplitude | µV | 16 (5) | 2360 (90) | 16 (5) | 1702 (107) | 0.23 | 0.0042 ** |
| Burst 4, ave amplitude | µV | 16 (5) | 2445 (87) | 16 (5) | 1849 (115) | 0.3 | 0.0068 ** |
| Burst 5, ave amplitude | µV | 16 (5) | 2406 (81) | 16 (5) | 1895 (115) | 0.39 | 0.01 * |
| Burst 6, ave amplitude | µV | 16 (5) | 2336 (75) | 16 (5) | 1887 (111) | 0.42 | 0.014 * |
| Burst 7, ave amplitude | µV | 16 (5) | 2273 (77) | 16 (5) | 1845 (103) | 0.48 | 0.012 * |
| Burst 8, ave amplitude | µV | 16 (5) | 2177 (72) | 16 (5) | 1803 (104) | 0.52 | 0.018 * |
| Burst 9, ave amplitude | µV | 16 (5) | 2124 (75) | 16 (5) | 1757 (104) | 0.5 | 0.022 * |
| Burst 10, ave amplitude | µV | 16 (5) | 2079 (76) | 16 (5) | 1721 (101) | 0.49 | 0.024 * |
| Burst 2-4 ave amplitude vs Burst 1 | % | 16 (5) | 176.6 (5.8) | 16 (5) | 192.8 (5.5) | 0.39 | 0.09 |
| Burst 8-10 ave amplitude vs Burst 2-4 | % | 16 (5) | 92.1 (1) | 16 (5) | 104.5 (1) | 0.46 | 4e-05 *** |
| LTP vs PTP, amplitude ratio | % | 16 (5) | 79 (1.3) | 16 (5) | 78.8 (1.5) | 0.95 | 0.84 |
| LTP based on amplitude | % | 16 (5) | 173.7 (7.7) | 16 (5) | 200.3 (8.8) | 0.25 | 0.083 |
Basal Synaptic Transmission
 
Variables shown are: Max fEPSP amplitude, Maximum field excitatory postsynaptic potential (fEPSP) amplitude. 
| Variable | Units | Wildtype slices (animals) | Wildtype mean (SEM) | Mutant slices (animals) | Mutant mean (SEM) | P(animals) | P(mutation) |
|---|---|---|---|---|---|---|---|
| Max fEPSP amplitude | µV | 16 (5) | 3000 (160) | 16 (5) | 1680 (110) | 0.5 | 0.00025 *** |
Paired Pulse Facilitation
 
Variables shown are: PPF at 50ms, ampl ratio, Paired pulse facilitation (PPF), pulses separated by 50ms, amplitude ratio. 
| Variable | Units | Wildtype slices (animals) | Wildtype mean (SEM) | Mutant slices (animals) | Mutant mean (SEM) | P(animals) | P(mutation) |
|---|---|---|---|---|---|---|---|
| PPF at 50ms, ampl ratio | % | 16 (5) | 175.4 (5.4) | 16 (5) | 190.2 (4.2) | 0.082 | 0.14 |
Theta Burst Stimulation
 
Variables shown are: Burst 1, PPF at 10ms, ampl ratio, Paired pulse facilitation (PPF), pulses separated by 10ms, amplitude ratio, observed during first two pulses of the first 100Hz burst during theta-burst stimulation. Burst 1, EPSP3 depr, ampl ratio, Depression observed in third fEPSP relative to the second fEPSP of the first 100Hz burst, amplitude ratio. Burst 1, ave amplitude, Average amplitude of four fEPSPs in first burst. Burst 2, ave amplitude, Average amplitude of four fEPSPs in second burst. Burst 3, ave amplitude, Average amplitude of four fEPSPs in third burst. Burst 4, ave amplitude, Average amplitude of four fEPSPs in fourth burst. Burst 5, ave amplitude, Average amplitude of four fEPSPs in fifth burst. Burst 6, ave amplitude, Average amplitude of four fEPSPs in sixth burst. Burst 7, ave amplitude, Average amplitude of four fEPSPs in seventh burst. Burst 8, ave amplitude, Average amplitude of four fEPSPs in eighth burst. Burst 9, ave amplitude, Average amplitude of four fEPSPs in ninth burst. Burst 10, ave amplitude, Average amplitude of four fEPSPs in tenth burst. Burst 2-4 ave amplitude vs Burst 1, Facilitation observed in average amplitude of bursts 2-4, relative to average amplitude of burst 1. Burst 8-10 ave amplitude vs Burst 2-4, Depression observed in average amplitude of bursts 8-10, relative to average amplitude of bursts 2-4. 
| Variable | Units | Wildtype slices (animals) | Wildtype mean (SEM) | Mutant slices (animals) | Mutant mean (SEM) | P(animals) | P(mutation) |
|---|---|---|---|---|---|---|---|
| Burst 1, PPF at 10ms, ampl ratio | % | 16 (5) | 184.2 (9.3) | 16 (5) | 205.6 (6.7) | 0.042 * | 0.21 |
| Burst 1, EPSP3 depr, ampl ratio | % | 16 (5) | 64.2 (3.2) | 16 (5) | 83.3 (1.7) | 0.074 | 0.0045 ** |
| Burst 1, ave amplitude | µV | 16 (5) | 1323 (57) | 16 (5) | 863 (52) | 0.11 | 0.0018 ** |
| Burst 2, ave amplitude | µV | 16 (5) | 2123 (75) | 16 (5) | 1501 (83) | 0.32 | 0.0013 ** |
| Burst 3, ave amplitude | µV | 16 (5) | 2360 (90) | 16 (5) | 1702 (107) | 0.23 | 0.0042 ** |
| Burst 4, ave amplitude | µV | 16 (5) | 2445 (87) | 16 (5) | 1849 (115) | 0.3 | 0.0068 ** |
| Burst 5, ave amplitude | µV | 16 (5) | 2406 (81) | 16 (5) | 1895 (115) | 0.39 | 0.01 * |
| Burst 6, ave amplitude | µV | 16 (5) | 2336 (75) | 16 (5) | 1887 (111) | 0.42 | 0.014 * |
| Burst 7, ave amplitude | µV | 16 (5) | 2273 (77) | 16 (5) | 1845 (103) | 0.48 | 0.012 * |
| Burst 8, ave amplitude | µV | 16 (5) | 2177 (72) | 16 (5) | 1803 (104) | 0.52 | 0.018 * |
| Burst 9, ave amplitude | µV | 16 (5) | 2124 (75) | 16 (5) | 1757 (104) | 0.5 | 0.022 * |
| Burst 10, ave amplitude | µV | 16 (5) | 2079 (76) | 16 (5) | 1721 (101) | 0.49 | 0.024 * |
| Burst 2-4 ave amplitude vs Burst 1 | % | 16 (5) | 176.6 (5.8) | 16 (5) | 192.8 (5.5) | 0.39 | 0.09 |
| Burst 8-10 ave amplitude vs Burst 2-4 | % | 16 (5) | 92.1 (1) | 16 (5) | 104.5 (1) | 0.46 | 4e-05 *** |
Long Term Potentiation
 
Variables shown are: LTP vs PTP, amplitude ratio, Reduction in potentiation from immediately after theta-burst stimulation to one hour later, fEPSP amplitude ratio. LTP based on amplitude, Long term potentiation, ratio of amplitudes of fEPSPs in test pathway and control pathway. 
| Variable | Units | Wildtype slices (animals) | Wildtype mean (SEM) | Mutant slices (animals) | Mutant mean (SEM) | P(animals) | P(mutation) |
|---|---|---|---|---|---|---|---|
| LTP vs PTP, amplitude ratio | % | 16 (5) | 79 (1.3) | 16 (5) | 78.8 (1.5) | 0.95 | 0.84 |
| LTP based on amplitude | % | 16 (5) | 173.7 (7.7) | 16 (5) | 200.3 (8.8) | 0.25 | 0.083 |
Behaviour raw data
| Animals | View |
| Elevated Plus Maze | View |
| Open Field | View |
| Novel Object Exploration | View |
| Rotarod | View |
Hippocampal slice electrophysiology raw data
| Animals and Brain slices | View |
| Field EPSP (Maximum) | View |
| Paired Pulse Facilitation | View |
| Long Term Potentiation | View |
| Data Files | View |














































